ID: 66721369
Closed
Bidding has ended on this item.
Collection of Errors - See 100 scans and Descriptions
$900.00
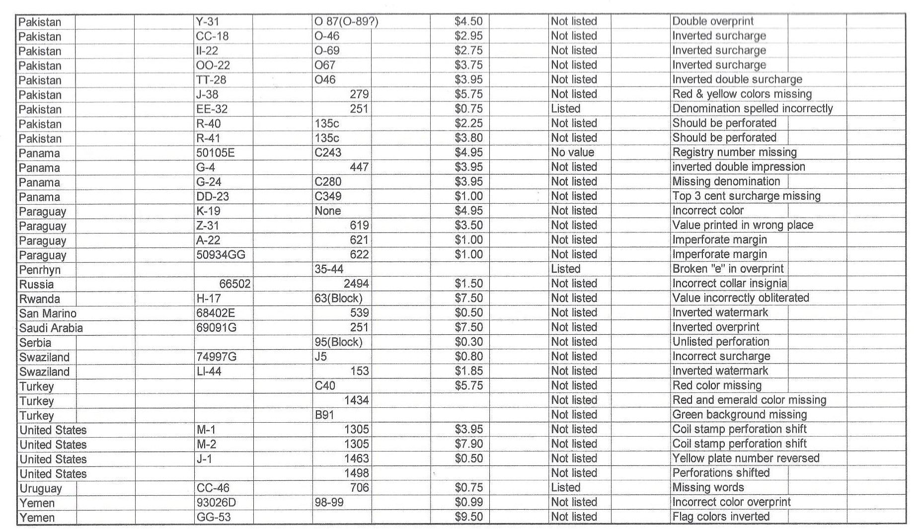
A super interesting collection of about 100 pages of errors - some of which are listed, and some are not. Three index pages document the country of issue, the Stolow Number, Scott number, how much was paid for each ... Read More
Item Specifics
- Country
- Australia
- Catalog Number
- P1
- Stamp Type
- Newspaper Stamps
- Condition
- Unused
- Centering
- VF
- Stamp Format
- Error
- Certificate Grade
- Not Graded
Item Description
A super interesting collection of about 100 pages of errors - some of which are listed, and some are not. Three index pages document the country of issue, the Stolow Number, Scott number, how much was paid for each lot, a 2003 Scotts catalogue value (if listed) and a description of each error. The pages in this collection are extremely well documented and effectively describe each error and how they relate to the non-error stamp. There are some high catalogue value stamps in the group (one from Italy has a $1500 catalogue value). No faults with significant value and a one-time opportunity.Bids History
The listing has no bids.
Sales History
The listing has not been sold.
- Item Location
- California, United States
- Ships To
- United States, Australia, Canada, Hong Kong, Korea (South), Mexico
Postage Calculator
- Select Country
- Quantity
- Returns Accepted
- No
You need to be logged in to ask the seller a question.
Click here to login
Click here to login
ID: 66721369
Viewed 24 times